Til Midas' spørsmål:
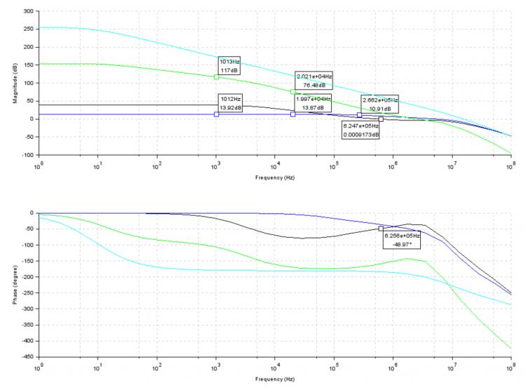
1. Ja, jeg startet med TI's nedlastbare Spice-modeller for IC'ene, gjorde en liten reverse engineering av dem for å få ut transferfunksjoner med poler etc i scilab for respektive ic, og bygget så opp transferfunksjonene for kretsen i Scilab ut fra de ic-modellene og verdier for alle r og c i kretsen. Det ble noen ark med skisser av filtre og kladdet algebra med impedanser før det hele så ut til å fungere. Resultatet er en transferfunksjon for hele kretsen, men jeg kan også plukke den fra hverandre for å se hva som skjer i bestemte deler av kretsen. Det gir en helt annen innsikt i hva som egentlig skjer i gain og fasevinkel enn bare en Spice-simulering. Deretter gjør jeg kretssimuleringer i Spice (TINA-TI) med samme komponentverdier for å forstå mer der, spesielt i tidsdomenet. Spice er kanskje bedre verktøy til å forstå hva som skjer, Scilab til å forstå hvorfor det skjer.
2. Takk! Bakgrunnen er blant annet en PhD EECS fra MIT og siv.ing fra gamle NTH, men i et annet fagfelt enn analoge kretser. Jeg var også noen år som forsker på Forsvarets Forskningsinstitutt. Nå har jeg en jobb som SVP i et større norsk konsern og holder på med helt andre ting enn dette på dagtid, så dette er bare et nødvendig utløp for ingeniørgenet når man sitter i business-møter hele dagen og ofte halve kvelden. Et annet motiv for å gå løs på dette var at min sønn studerer på Chalmers og hadde reguleringsteknikk som fag i fjor. Det gikk sådär, så jeg brukte litt tid på å diskutere fag med ham og behøvde et relevant eksempel for å diskutere Bode-diagrammer og stabilitetskriterier. Det tok kanskje litt mer av enn jeg tenkte, men nå leter han ihvertfall etter eksamensprosjekt i forsterkerdesign, så hovedformålet ble tydeligvis oppnådd.
@Sluket: Stabiliteten har vi kontroll på så lenge komponentene er i nærheten av nominelle verdier, men vi begynner å nærme oss et nivå hvor det er lite margin for store avvik i komponentverdier. Jeg mistenker også at stabilitetsvinduet i neste versjon begynner å bli som å tre en tråd gjennom et nåløye. Skal ikke mye avvik til før noe skjer. Det vil i så fall vise seg nokså umiddelbart første gang vi setter strøm på et eksemplar. Levetid vil først og fremst være et spørsmål om termisk design, men det har vi ikke regnet på ennå. I utgangspunktet er det app note AN-1192 som gjelder for denne, ettersom den er en BR-100 med et drivertrinn foran. Selve LM4780'en har innebygget beskyttelse mot både overtemperatur og kortslutning, så det bør bli en ganske robust liten ting.
http://www.ti.com/lit/an/snaa021b/snaa021b.pdf
Er på reise nå, men fikk noen ideer på flyturen, så jeg skal gjøre et forsøk til på å se hvor høyt det egentlig går an å presse NFB i denne forsterkertopologien. Jeg innser at det antagelig er enda litt mer reserve enn jeg trodde i går.
1. Ja, jeg startet med TI's nedlastbare Spice-modeller for IC'ene, gjorde en liten reverse engineering av dem for å få ut transferfunksjoner med poler etc i scilab for respektive ic, og bygget så opp transferfunksjonene for kretsen i Scilab ut fra de ic-modellene og verdier for alle r og c i kretsen. Det ble noen ark med skisser av filtre og kladdet algebra med impedanser før det hele så ut til å fungere. Resultatet er en transferfunksjon for hele kretsen, men jeg kan også plukke den fra hverandre for å se hva som skjer i bestemte deler av kretsen. Det gir en helt annen innsikt i hva som egentlig skjer i gain og fasevinkel enn bare en Spice-simulering. Deretter gjør jeg kretssimuleringer i Spice (TINA-TI) med samme komponentverdier for å forstå mer der, spesielt i tidsdomenet. Spice er kanskje bedre verktøy til å forstå hva som skjer, Scilab til å forstå hvorfor det skjer.
2. Takk! Bakgrunnen er blant annet en PhD EECS fra MIT og siv.ing fra gamle NTH, men i et annet fagfelt enn analoge kretser. Jeg var også noen år som forsker på Forsvarets Forskningsinstitutt. Nå har jeg en jobb som SVP i et større norsk konsern og holder på med helt andre ting enn dette på dagtid, så dette er bare et nødvendig utløp for ingeniørgenet når man sitter i business-møter hele dagen og ofte halve kvelden. Et annet motiv for å gå løs på dette var at min sønn studerer på Chalmers og hadde reguleringsteknikk som fag i fjor. Det gikk sådär, så jeg brukte litt tid på å diskutere fag med ham og behøvde et relevant eksempel for å diskutere Bode-diagrammer og stabilitetskriterier. Det tok kanskje litt mer av enn jeg tenkte, men nå leter han ihvertfall etter eksamensprosjekt i forsterkerdesign, så hovedformålet ble tydeligvis oppnådd.
@Sluket: Stabiliteten har vi kontroll på så lenge komponentene er i nærheten av nominelle verdier, men vi begynner å nærme oss et nivå hvor det er lite margin for store avvik i komponentverdier. Jeg mistenker også at stabilitetsvinduet i neste versjon begynner å bli som å tre en tråd gjennom et nåløye. Skal ikke mye avvik til før noe skjer. Det vil i så fall vise seg nokså umiddelbart første gang vi setter strøm på et eksemplar. Levetid vil først og fremst være et spørsmål om termisk design, men det har vi ikke regnet på ennå. I utgangspunktet er det app note AN-1192 som gjelder for denne, ettersom den er en BR-100 med et drivertrinn foran. Selve LM4780'en har innebygget beskyttelse mot både overtemperatur og kortslutning, så det bør bli en ganske robust liten ting.
http://www.ti.com/lit/an/snaa021b/snaa021b.pdf
Er på reise nå, men fikk noen ideer på flyturen, så jeg skal gjøre et forsøk til på å se hvor høyt det egentlig går an å presse NFB i denne forsterkertopologien. Jeg innser at det antagelig er enda litt mer reserve enn jeg trodde i går.
Sist redigert:



